您当前的位置: 主页 > 教师招聘 > 招考信息 > 通知须知 >

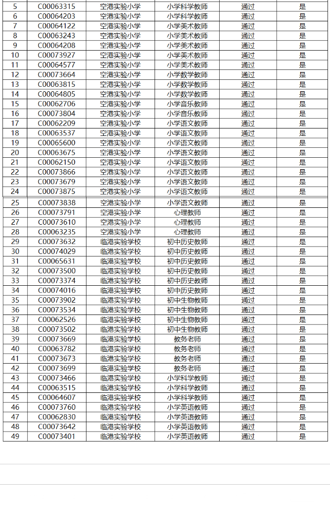
2021年天津港保税区二次公开招聘资格复审结果公示

2022-03-09 14:21 分享到:



文章来源:https://registalent.zhiye.com/a/fsgg

【半月讲坛教育提醒】更多报考信息请关注天津半月讲坛官网(www.banyuetanedu.com)或微信公众号(tjbanyuetan),天津半月讲坛教育咨询电话:022-81110908,南开分校咨询电话:022-87495105,西青分校咨询电话:022-23980221,蓟州分校咨询电话:022-29880199,宝坻分校咨询电话:022-22588509。

  

 

津公网安备 12010102000442号