2020国家公务员考试行测备考:行程问题的常见题型
2019-11-05 11:24 分享到:
一年一度的国家公务员考试即将到来,各位考生进入了备考状态。而行测是每年国考必考科目之一,其中包含常识判断、言语理解、数量关系、判断推理、资料分析五大部分。
一、基础知识
(一)行程问题的基本关系式
路程=速度×时间
(二)正反比关系定义
若A B=固定值,则A与B成反比关系
若
,则A与B成正比关系
(三)正反比在行程问题中的具体运用
时间一定:路程与速度成正比关系
速度一定:路程与时间成正比关系
路程一定:速度与时间成反比关系
二、模拟练习
例题1:甲乙二人都是从M地向P地行驶,已知甲乙二人速度之比为6:5的关系,问甲乙二人行走MP长度所用的时间之比为多少?
半月谈解析:根据当路程一定的时候,速度与时间成反比关系,速度之比为6:5,则时间之比为5:6的关系.(路程一定,速度和时间成反比)
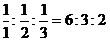
例题2:甲乙丙三人都是从M地向P地行驶,已知甲乙丙三人速度之比为1:2:3的关系,问甲乙丙三人行走MP长度所用的时间之比为多少?
半月谈解析:根据当路程一定的时候,速度与时间成反比关系,速度之比为1:2:3,则时间之比为
。(路程一定可以设为1。路程除以速度等于时间)
例3:两名运动员进行110米栏赛跑,结果甲领先乙11米到达终点。同样乙与丙进行110栏赛跑,结果乙领先丙11米到达终点。如果让甲与丙进行110米栏赛跑,那么甲到终点时,丙跑了多少米?
A.88 B.89 C.90 D.91
半月谈解析:此题需要进行比例的统一,甲乙的速度比为110:(110-11),乙丙的速度比为110:(110-11),所以进行比例的统一得到甲乙丙速度比为100:90:81。化简得到1:0.9:0.81.也就是所甲跑完了全程,丙仅跑了全程的0.81。所以甲到达终点时,丙跑了110×0.81=89米。







